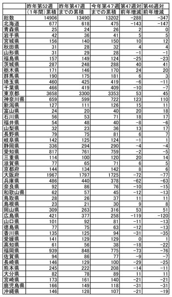
梅毒の新規感染報告件数…青森、茨城、長野、三重、岡山が加わり、13県が昨年の累積数を上回る

(C)日刊ゲンダイ

この記事を読む

  • アクセスランキング

  • 週間

  1. 1

    阿部巨人V逸の責任を取るのは二岡ヘッドだけか…杉内投手チーフコーチの手腕にも疑問の声

  2. 2

    巨人・桑田二軍監督の電撃退団は“事実上のクビ”…真相は「優勝したのに国際部への異動を打診されていた」

  3. 3

    クマ駆除を1カ月以上拒否…地元猟友会を激怒させた北海道積丹町議会副議長の「トンデモ発言」

  4. 4

    巨人桑田二軍監督の“排除”に「原前監督が動いた説」浮上…事実上のクビは必然だった

  5. 5

    クマ駆除の過酷な実態…運搬や解体もハンター任せ、重すぎる負担で現場疲弊、秋田県は自衛隊に支援要請

もっと見る

  1. 6

    露天風呂清掃中の男性を襲ったのは人間の味を覚えた“人食いクマ”…10月だけで6人犠牲、災害級の緊急事態

  2. 7

    高市自民が維新の“連立離脱”封じ…政策進捗管理「与党実務者協議体」設置のウラと本音

  3. 8

    阪神「次の二軍監督」候補に挙がる2人の大物OB…人選の大前提は“藤川野球”にマッチすること

  4. 9

    恥辱まみれの高市外交… 「ノーベル平和賞推薦」でのトランプ媚びはアベ手法そのもの

  5. 10

    引退の巨人・長野久義 悪評ゼロの「気配り伝説」…驚きの証言が球界関係者から続々