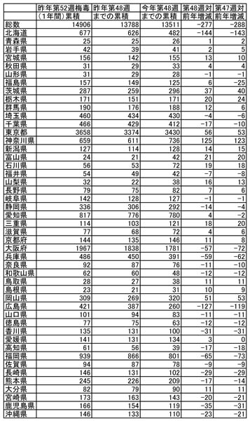
梅毒の新規感染報告件数…新潟と京都が加わり昨年の累積数を上回ったのは15県に

(C)日刊ゲンダイ
(C)日刊ゲンダイ

この記事を読む

  • アクセスランキング

  • 週間

  1. 1

    元横綱照ノ富士が“弟子暴行”で角界に大激震! 転籍組との微妙な関係、燻っていた「無理やり改名」の火種

  2. 2

    競泳アイドル池江璃花子の初ロマンスに見えてくる「2つの夢」…りくりゅうに続くメダルともうひとつ

  3. 3

    侍Jで待遇格差が浮き彫りに…大谷翔平はもちろん「メジャー組」と「国内組」で大きな隔たり

  4. 4

    弟子を殴った元横綱照ノ富士 どれだけ潔くても厳罰必至か…「酒瓶で…」「女性を庇った」飛び交う情報

  5. 5

    Adoの初“顔出し”が話題 ミステリアス歌手の限界と20年非公表の「GRe4N BOYZ」との違い

もっと見る

  1. 6

    Snow Man宮舘涼太の交際発覚にファンが怒るワケ 「よりによって相手は女子アナ…」

  2. 7

    元横綱・照ノ富士の暴力事件で伊勢ケ浜部屋は評判ガタ落ち…絶頂期が一転「指導者も親も嫌がる」

  3. 8

    イラン攻撃に沈黙する高市外交の“二枚舌” 米国とイスラエルの暴挙に「法的評価は控える」の笑止

  4. 9

    イラン攻撃が招く原油爆騰インフレの恐怖「サナエノミクス」で庶民への打撃拡大…それでも「利上げ」に反対なのか

  5. 10

    熱意と覚悟が欠如…国内男子ツアーの衰退を加速させる日本ゴルフツアー機構の“残念さ”